服務熱線
400-608-2558
咨詢熱線
15502965860-

為x特征的最小值,
為x特征的最大值。
為x特征的絕對值的最大值。

| 參數 | 類型 | 描述 |
| 選擇變量 | 列表框 | 需要做數據標準化的屬性/字段/列的集合。這里選擇的屬性/字段/列的數據類型必須為數值型 |
| 標準化方式_最大最小歸一化 | 下拉框 | 原數據與原最小值的差除以原最大值與原最小值的差,得到商后乘以指定最大值與指定最小值的差,乘積后再加上指定最小值。得到標準化后的新數據。通過這種方法,默認將原數據的范圍變換到0和1之間;若用戶輸入指定的最小值和最大值,則將原數據的范圍變換到指定mix和指定max之間 |
| 標準化方式_最大值歸一化 | 下拉框 | 每個數值除以數值絕對值的最大值 |
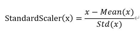
| 標準化方式_Z標準化 | 下拉框 | 目的是將數據轉化為服從接近正態(tài)分布的數據,其均值為0,方差為1。計算公式為數值減去均值后除以標準差 |




